Inclined Plane Problems And Answers How Does An Inclined Pla

Inclined Plane Problems And Answers How Does An Inclined Pla

Inclined studiousguy Inclined plane examples Physics online tutor: inclined plane problem answer inclined plane problems and answers

Inclined Plane Problems

An absolutely heinous inclined plane problem Solving inclined plane problems The inclined plane

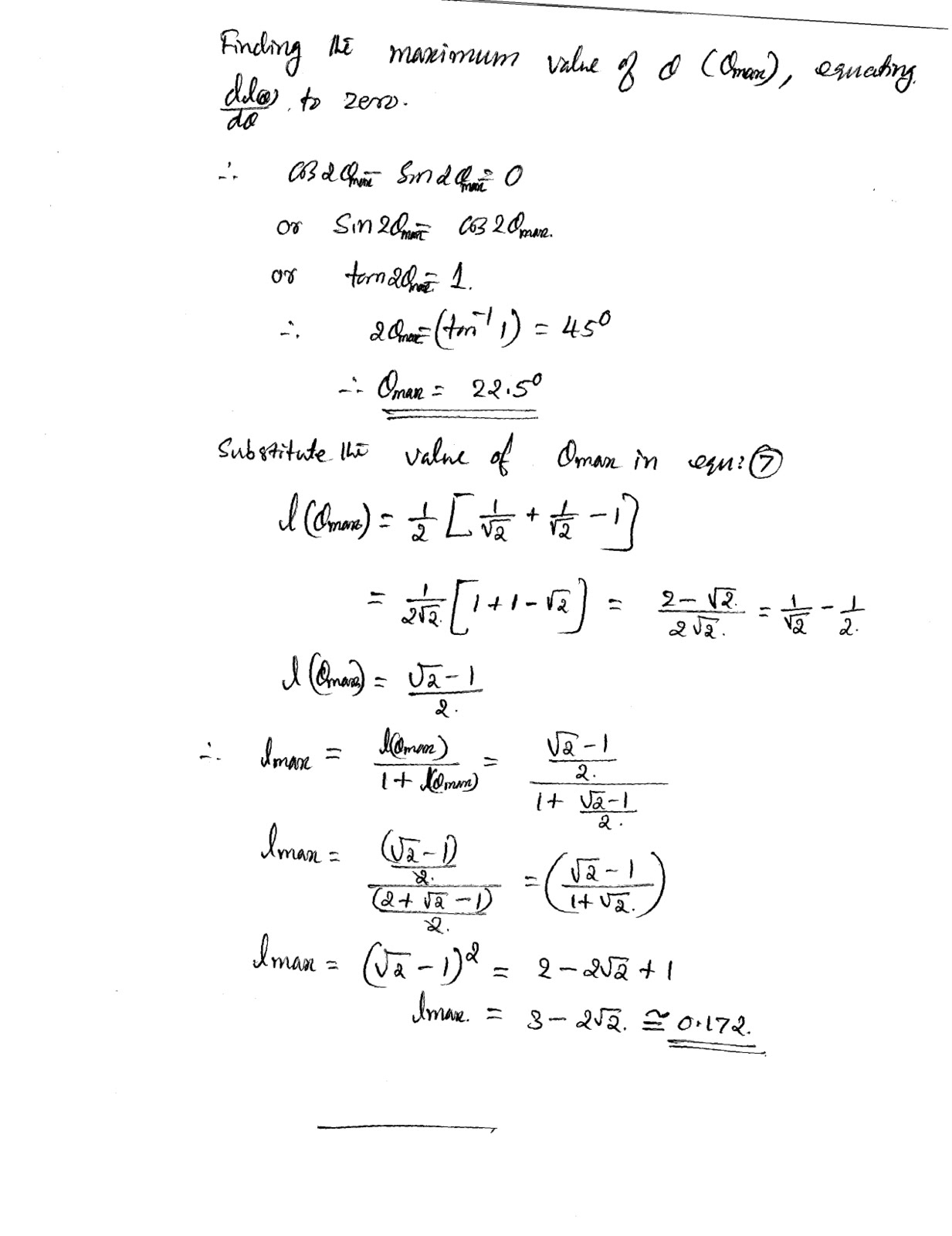
Solution: inclined plane

Inclined plane problemsInclined plane questions Inclined plane example problemChapter 5: working with inclined planes.

How to solve inclined plane problemsInclined planes: practice problems with solutions Solution: inclined plane with examplesSimple machines worksheet answers – e street light.

Inclined Plane Examples At Home
Inclined Plane Examples At Home

Inclined plane problem

Inclined plane problemsInclined plane: definition, examples, and uses Plane inclined problems physics solveAnswers to inclined plane problems ppt download — db-excel.com.

Inclined plane questionsInclined physics plane tutor online krishna pm posted Inclined plane examples at homeHow does an inclined plane make work easier how does an inclined plane.

Inclined Plane Questions
Inclined Plane Questions

Discover 131+ inclined plane drawing latest

1 inclined plane problems solutionsInclined plane questions How to: analyze inclined plane problemsInclined plane problems problem physics incline down.

Inclined plane worksheet answersSolved (14\%) problem 6: now consider an inclined plane with Inclined planes: practice problems with solutionsThe secret to solving inclined plane problems physics.

Answers To Inclined Plane Problems Ppt Download — db-excel.com
Answers To Inclined Plane Problems Ppt Download — db-excel.com

Inclined plane practice solutions.pdf

Solved inclined plane worksheet name: period: date: use theIntroduction to inclined planes Inclined plane practice pdf physicsPhysics raise vertical won normal force think hand if.

️worksheet inclined planes answers free download| goodimg.co10 inclined planes examples in everyday life – studiousguy .

Solving Inclined Plane Problems
Solving Inclined Plane Problems
The Secret To Solving Inclined Plane Problems Physics
The Secret To Solving Inclined Plane Problems Physics
Inclined Plane Examples
Inclined Plane Examples
SOLUTION: Inclined plane - Studypool
SOLUTION: Inclined plane - Studypool
️Worksheet Inclined Planes Answers Free Download| Goodimg.co
️Worksheet Inclined Planes Answers Free Download| Goodimg.co
Inclined Plane Practice SOLUTIONS.pdf - HW 17 Adv Physics Incline Plans
Inclined Plane Practice SOLUTIONS.pdf - HW 17 Adv Physics Incline Plans
PHYSICS ONLINE TUTOR: Inclined Plane Problem Answer
PHYSICS ONLINE TUTOR: Inclined Plane Problem Answer
Solved (14\%) Problem 6: Now consider an inclined plane with | Chegg.com
Solved (14\%) Problem 6: Now consider an inclined plane with | Chegg.com
Inclined Plane Problems
Inclined Plane Problems

Share: